最好的股票配资导航网-股票杠杆平台排名-【东方资本】,怎么买股票初级入门,杠杆数据收集渠道和方法,杠杆融资的优缺点


首頁 > 廣芯微 > 關于我們 > 新聞集錦
廣芯微發布電控系統的可視化上位機軟件
發布人:廣芯微 發布時間:2023/12/20
、摘要 


UM32M130/131、UM32MP31系列芯片是廣芯微電子面向物聯網、智能家居、工業設備、電機控制等多種應用場景開發的32位IoTP處理器芯片系列,芯片采用32位ARM Cortex-M0+內核,最高主頻32MHZ,內部集成4路COMP、1路OPA、UART、SPI、I2C等通用外圍通訊接口,ADC等傳感獲取接口,以及LPUART、LPTIMER、WDT等超低功耗模塊接口,內置RC高頻和低頻振蕩器,支持免晶振應用。


廣芯微基于UM32M131系列芯片推出了電機控制方案,支持電機無反轉啟動、軟啟動、快速啟停、順風啟動、電子剎車、故障監測機制等多個性能,可廣泛應用于工業和生活中,如電機工具、園林工具、清洗泵、充氣泵、部分家電如吸塵器、筋膜槍、風扇等。    


為降低客戶開發門檻,更方便快捷地對電機控制下位機進行調試,廣芯微開發設計出對應的可視化電機控制上位機,能夠滿足監控、數據交換、故障診斷等功能,快速發出指令,實現對電機的有效控制,從而實現良好的人機交互。


、件介  


下圖為UM32M131 MOTOR EVB電機驅動板,包括功率板和EVB合并板。


UM32M131方波應用


MCU要求:PWMx6,OPAx1,CMPx4,ADx14
通信:UART/IIC


主頻:32MHz

UM32MP31方波應用

MCU要求:PWMx6,OPAx1,CMPx4,ADx14,Gate Driver x3

通信:UART/IIC

主頻:32MHz             

六步換相電路

MCU輸出PWM_H_U/V/W 及PWM_L_U/V/W六路信號,經過UM6032(預驅)驅動由Q1-Q6組成的三相逆變橋(如下圖所示),控制電機進行換相。

三、上位機軟件介紹 

下圖為電控系統可視化上位機軟件的主界面圖,適配于多種電機控制系統應用場景,可實現電機的參數配置、數據交換、故障監測、系統操控等功能。   


功能架構大致如下:


  • 控制電機。上位機根據用戶需求,生成相應的控制指令,發送給下位機,下位機通過串口接收到指令后執行相應動作。因此用戶可通過直接控制啟動、停止、正轉、反轉四個基礎按鈕,或通過讀寫指令設置控制參數,從而實現對電機的快速控制。    
  • 串口通信,數據交換。上位機軟件提供給用戶一個友好的操作界面,用戶可通過只讀、讀寫、只寫指令對電機進行參數的采集和配置,包括電機采樣參數、控制參數、配置參數、保護參數。參數數據通過串口由上位機傳輸至下位機。

  • 故障狀態監測。上位機在后臺實時監控電機的運行狀態和故障狀態,根據電機下位機的反饋信息,實時調整控制指令,從而達到預期效果。運行狀態和故障狀態具體包括以下:

  • 指示燈顯示。每次操作后,將電機下位機的接收結果反映在主界面的指示燈上,包括正在運行、操作成功、操作失敗、接收中斷及無效數據這5種接收狀態。下圖分別展示的是“讀寫操作成功”和“只讀正在運行”狀態。



  • 實時繪圖。可在菜單欄中的“串口實時”里打開相應的繪圖界面。此功能可以通過曲線圖的方式直觀地將參數的采集、配置過程實時呈現,同時具象化展現選中參數最大值、最小值、平均值的動態變化。


下圖為上位機軟件的串口實時繪圖界面    


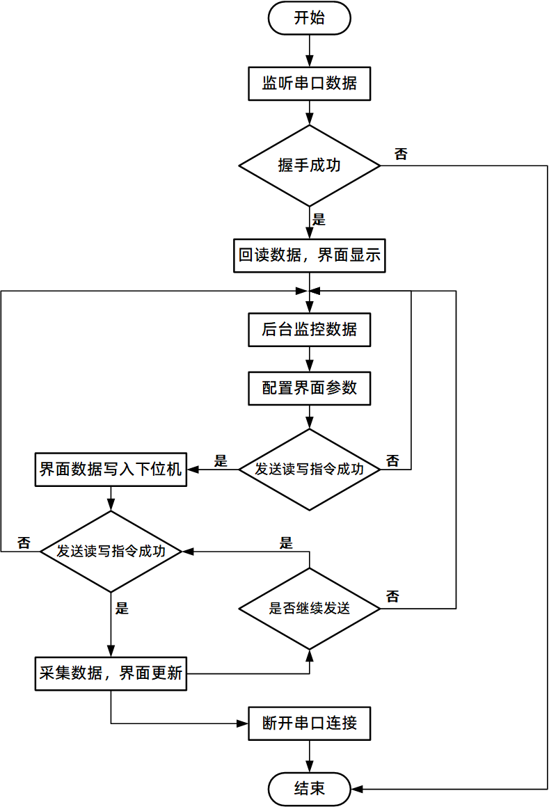
上位機開始運行后,發送連接指令,監聽串口數據,在成功連接后回讀電機下位機中的所有參數數據,并更新于上位機界面。完成數據回讀后,后臺進入對電機故障狀態的持續監控中。

例如,配置完參數后發送讀寫指令,上位機會將配置值寫入下位機,待成功回應后重復讀取下位機參數,完成數據解析并實時更新顯示于界面。當暫停發送或接收錯誤時,自動退出發送線程,重新進入后臺監控狀態。具體流程如下圖:   

當指令完成發送后,上位機將重新進入后臺監控狀態。直至斷開串口連接,后臺監控等所有線程停止運行。

四、電機控制系統上位機優勢   

  • 較強的數據處理能力,能夠快速對大量數據進行處理分析,并同步至界面,便于用戶及時對電機設備運行進行優化。
  • 通過采集、處理和分析電控系統下位機設備的數據,實時監測和控制電機運行過程,并根據需要做出相應的調整,使得電機運行更加協調和高效。
  • 較高的安全性和可靠性,上位機具有后臺持續監控的功能,能夠及時監測到電機異常情況,提醒用戶采取相應的措施。保證了電機控制系統運行的連續性和可靠性,減少故障和停機時間。
  • 數據可視化,上位機支持參數以曲線圖的方式動態呈現,能夠滿足用戶在參數采集和配置過程中更加清晰地觀察參數變化。
  • 應用靈活,滿足所有同類電機控制系統的應用需求,隨著科技的不斷發展,電機控制系統和設備也會發生相應的更新變化,而上位機作為一個獨立的控制系統,可以通過軟件的更新和升級來適應這些變化,而無需對整個系統進行大規模的更改。


總結  

上位機作為工業自動化系統的重要組成部分,實現了工業自動化的高效運行和控制管理。上位機通過與下位機設備的串口通信,實現數據采集、數據配置、控制指令下發、實時監測等功能;通過算法處理和分析數據,并在界面上呈現,為用戶提供了更為直觀的決策依據。在上位機的操作簡潔性和功能實用性上,廣芯微將不斷完善,加速人機交互的進化與發展。



關于廣芯微

廣芯微電子(廣州)股份有限公司聚焦光伏新能源、物聯網、工業控制和汽車電子產業,為客戶提供差異化的微處理器芯片與性能卓越的模擬與射頻前端芯片,以及低功耗IoT方案平臺,數字電源方案平臺和電機控制方案平臺。廣芯微獨有的低功耗芯片設計方法、高效率的變頻電控技術、大功率的PD快充協議以及多樣性無線連接技術整合而成創新與差異化的集成電路設計,在健康醫療電子、消費電子、智慧家庭、工業控制、傳感器與表計等領域已經得到了廣泛的應用。

要獲取更多產品信息及相關的解決方案信息,請掃描下方二維碼關注 ”廣芯微電子“ 公眾號。

聯系方式:sales@unicmicro.com



—— END ——


免責及版權聲明:凡本微信號注明“原創”的所有文字、圖片和音視頻作品,版權均屬于廣芯微電子(廣州)股份有限公司所有,文章內容系作者個人觀點,任何媒體、網站或個人未經本網協議授權不得轉載、鏈接、轉貼或以其他方式復制發表。已經本公司授權的微信號、網站等,在使用時必須注明“來源:廣芯微電子(廣州)股份有限公司”,否則本公司將依法追究責任。除原創作品之外,本平臺所使用的文章、圖片、素材、視頻及音樂屬于原版權人所有,因客觀原因,或會存在不當使用的情況,非惡意侵犯原版權相關利益,敬請相關權利人諒解,若版權所有者認為本文涉嫌侵權或其他問題,請及時與我們聯系,共同維護良好的網絡創作環境。聯系電話【020-31600229-李小姐】。